无截止单模保偏光子晶体光纤,能够在极宽的波长范围内仅支持基模,而从不传导高阶模,允许高功率、低噪声单频激光器进行稳定的单模传输。这在诸如原子捕获和激光冷却等精密应用中特别有价值,在这些应用中,保持初始线性偏振至关重要。
凭借超过15年的专业知识,ALPhANOV是您在为量子应用选择最合适的光纤和功能化方面值得信赖的合作伙伴。
紫外范围内
由于其波长较短,工作在紫外线(UV)光谱区域的单模光纤具有极小的芯径,即使在较低的发射功率下,也会导致光功率密度显著升高。与紫外线辐射相关的高光子能量会诱导色心形成[5],这被称为紫外线光致暗化,它会导致传输光的显著衰减,常常使光纤无法使用。根据波长的不同,在熔融石英光纤中,即使功率仅为微瓦级别,也可能发生光致暗化。通过在压力下向石英光纤中充入分子氢,然后进行固化,即通过暴露于紫外线辐射诱导稳定的化学变化[6],可以实现抗光致暗化。
在这个光谱范围内,有一种单一的解决方案有利于有效处理多种原子和离子种类:
l PCF - PM - 10与充氢和固化相结合
实际上,这种芯径为10um的光纤能够引导低波长光,同时降低芯内的功率密度。
可见光范围内
400nm至500nm
PCF - PM - 5:模场直径在4um左右,损耗 < 40dB/km
PCF - PM - 10:模场直径在8um左右,损耗 < 25dB/km
500nm-750nm
PCF - PM - 5:模场直径在4um左右,损耗小于20dB/km
PCF - PM - 10:模场直径在8um左右,损耗小于15dB/km
PCF - PM - 15:模场直径在12um左右,损耗小于30dB/km
红外波段
单频激光器目前在红外光谱(IR)范围内提供最高的输出功率。目前有四类光纤可用于支持此类光源,包括PCF - PM - 20光纤。这种光纤是根据ALPHA NOV规格开发的,其纤芯直径为20um,专门设计用于支持具有高光束质量和保偏功能的单频运行:
PCF - PM - 5:模场直径在4um范围内,在1064纳米处损耗<7dB/km
PCF - PM - 10:模场直径在8um范围内,在1064纳米处损耗<5dB/km
PCF - PM - 15:模场直径在12um范围内,在1064纳米处损耗<10dB/km
PCF - PM - 20:模场直径在17um范围内,在1064纳米处损耗<30dB/km
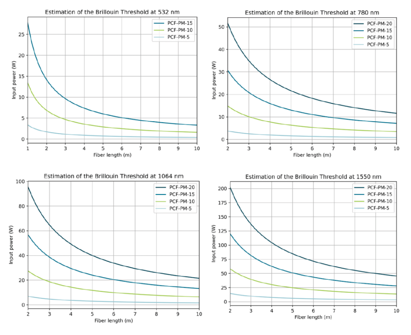
为了帮助选择合适的光纤,下面的图表展示了不同类别光纤的估计阈值功率,该功率是光纤长度和波长的函数。我们将布里渊阈值功率定义为背向散射功率达到输入泵浦功率 1% 时的输入功率
光纤密封方法:端盖法与塌缩法
密封光纤端面可防止灰尘、湿气及其他污染物进入,这些污染物可能会通过改变折射率分布或引发散射损耗,对光学性能产生不利影响。
密封光子晶体光纤(PCF)端面的一种常用方法是将一块玻璃熔接在光纤尖端,这种技术称为端盖法。端盖的厚度通常小于 100 微米,但也可以制作长达 1 毫米的端盖,以降低端面上的光通量,从而实现高光学功率的传输(见下图)。
另一种方法是对光纤进行局部加热,使 PCF 中的气孔塌缩(见下图)。热量使二氧化硅软化,由于表面张力,周围的气孔会塌缩。必须仔细监测这个塌缩区域,以防止纤芯过度变形,并确保最佳的光学性能。通常,塌缩区域的厚度不超过 50 甚至 100 微米。与端盖法相比,这种技术的主要优点是无需熔接,这大大减少了光反馈。
连接头选择:
FC/PC,FC/APC
SMA(SMA-2,SMA-6,SMA-AF)
铠甲保护

暂无
如有意向购买产品或者相关技术咨询,请联系我们